
Tak kenal, maka tak sayang. Mungkin itulah pribahasa yang bisa Quipper Blog berikan buat kamu yang sedang mumet banget belajar buat SBMPTN Matematika. Sebenarnya, materi apapun akan terasa mudah kalau kamu terbiasa mengerjakannya kok, guys. Makanya, pilihan kamu buat mampir ke sini tepat banget, nih.
Kali ini, Quipper Blog akan membahas latihan soal SBMPTN Matematika IPA TKD SAINTEK 2018. Kabar baiknya, latihan soal yang disediakan Quipper Blog, lengkap dengan jawaban beserta pembahasannya juga. Kuy, langsung dikerjakan!
Latihan Soal 1

- 8
- 2
- 4
- -4
- -2
Jawaban: A
Pembahasan:

Penyelesaian:
Oleh karena -1 ≤ cos x ≤ 1, maka nilai maksimum cosx adalah 1 dan nilai minimum cosx adalah -1.

Nilai maksimum:

Nilai minimum:

Berdasarkan persamaan (1) dan (2), diperoleh:

Substitusikan nilai a = 2 ke dalam persamaan (1).

Oleh karena -1 ≤ sin x ≤ 1, maka nilai maksimum cosx adalah 1 dan nilai minimum cosx adalah -1.
Nilai minimum g(x):

Latihan Soal 2
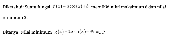
Diketahui kubus ABCD.EFGH dengan panjang rusuk 22 cm. Jika titik P di tengah-tengah AB dan titik Q di tengah-tengah BC, maka jarak antara titik H dengan garis PQ adalah … cm.
- 4
- √19
- 3√2
- √17
- √15
Jawaban: D
Pembahasan:
Diketahui: Panjang rusuk kubus ABCD.EFGH adalah 2√2 cm, titik P di tengah AB, dan titik Q di tengah BC.
Ditanya: Jarak H dengan garis PQ = … ?
Penyelesaian:
Sketsa kubusnya adalah sebagai berikut.

Jarak H ke garis PQ adalah HR. Hal ini karena HR adalah garis yang ditarik dari titik H dan tegak lurus garis PQ.
Perhatikan segitiga PQH.

Dengan demikian, untuk menentukan HR kita perlu menentukan panjang HQ dan RQ terlebih dahulu.

Jadi, panjang HR adalah √17.
Latihan Soal 3
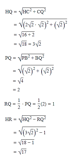
Jika a + 1, a – 3, 2 membentuk barisan geometri, maka jumlah 11 suku pertama yang mungkin adalah…
- 9
- 6
- 4
- 7
- 2
Jawaban: E
Pembahasan:
Diketahui: a + 1, a – 3, 2 membentuk barisan geometri.
Ditanya: Jumlah 11 suku pertama =…?
Penyelesaian:
a + 1, a – 3, 2 membentuk barisan geometri.

Untuk a = 7, barisan geometrinya adalah 8, 4, 2, …

Untuk a = 1, barisan geometrinya adalah 2, -2, 2, …

Jadi, jumlah 11 suku pertama yang mungkin adalah 2.
Latihan Soal 4


Jawaban: E
Pembahasan:
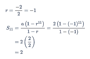
Diketahui: Segitiga dibatasi sumbu X, sumbu Y, dan garis singgung kurva di titik
P(a,b) di kuadran II.
Ditanya: ab =…?
Penyelesaian:


Oleh karena garis singgung membentuk segitiga sama kaki dengan sumbu X dan sumbu Y maka kemiringan garis singgung adalah membentuk sudut 45o.
Gradien garis singgung (m) = tan 45o =1.

Oleh karena di kuadran II, maka a = -1.

Latihan Soal 5
Himpunan semua bilangan real x pada selang [π, 2π] yang memenuhi sin (2x) – 2cos2 x ≥ -2 berbentuk [a, b]. Nilai a + b adalah…

Jawaban: B
Pembahasan:
Diketahui: Himpunan penyelesaian yang memenuhi sin (2x) – 2cos2 x ≥ -2 berbentuk [a, b].
Ditanya: Nilai a + b =…?
Penyelesaian:

Kita tentukan terlebih dahulu titik-titik pembuat nolnya.

Hal ini karena interval penyelesaiannya pada selang [π, 2π].

Setelah itu, buatlah garis bilangan untuk menentukan interval penyelesaiannya. Ingat, hanya pada interval [π, 2π].


Dengan demikian, tanda pada garis bilangannya adalah sebagai berikut.

Bagaimana Quipperian, apakah kamu sudah mulai paham mengerjakan latihan soal SBMPTN Matematika IPA TKD SAINTEK 2018 di atas? Agar pemahamanmu semakin terasah, sering-seringlah mengerjakan latihan soal. Ingat, selangkah lagi kamu akan memasuki PTN impian.
Untuk mendukung kesuksesanmu masuk PTN, Quipper Video hadir dengan Paket Intensif UTBK SBMPTN 2020. Semua kebutuhan sudah tersedia di dalamnya, mulai dari materi persiapan, materi pemantapan, latihan soal, bank soal, hingga pembahasan lengkapnya. Jadi, tunggu apalagi. Yuk, gabung Quipper Video sekarang!