
Hai Quipperian, sudah siapkah kamu menyambut seleksi akbar, SBMPTN? Atau justru kamu masih bingung mencari soal-soal SBMPTN? Bagi kamu yang saat ini masih bingung mencari soal-soal SBMPTN, tampaknya kamu berada di artikel yang tepat, nih. Kali ini, Quipper Blog akan membahas latihan soal SBMPTN TPS 2019. Kabar baiknya, latihan soal yang disediakan Quipper Blog, lengkap dengan jawaban beserta pembahasannya, lho. Semakin penasaran? Yuk, segera kerjakan soalnya!
Latihan Soal 1
Mahasiswa yang memiliki IPK di atas 3,6 atau yang pernah menjabat sebagai ketua Badan Eksekutif Mahasiswa akan mendapatkan beasiswa prestasi. Indah memiliki IPK 3,9. Dina mendapatkan beasiswa prestasi. Simpulan yang paling tepat adalah….
- Indah mendapatkan beasiswa prestasi.
- Dina pernah menjabat sebagai ketua Badan Eksekutif Mahasiswa.
- Indah dan Dina mendapatkan beasiswa prestasi.
- Nilai IPK Dina melebihi 3,6.
- IPK Indah melebihi 3,6.
Jawaban: C
Pembahasan:
Diketahui: Dua buah pernyataan.
Ditanya: Simpulan yang tepat =…?
Penyelesaian:
Sesuai pernyataan-pernyataan dalam soal didapatkan data berikut.
- p = Mahasiswa yang memiliki IPK di atas 3,6 atau yang pernah menjabat sebagai ketua Badan Eksekutif Mahasiswa
- q = Mahasiswa akan mendapatkan beasiswa prestasi
- r = Indah memiliki IPK 3,9
Penarikan kesimpulan Modus Ponens dijabarkan sebagai berikut.

Jadi, kesimpulan yang tepat adalah “Indah dan Dina mendapatkan beasiswa prestasi”.
Latihan Soal 2
Perhatikan pernyataan-pernyataan berikut.
- Kurangnya ruang terbuka hijau di Jakarta.
- Banyaknya kali atau sungai di Jakarta yang mengalami penyempitan.
Manakah berikut ini yang menggambarkan hubungan pernyataan (1) dan (2)?
- Pernyataan (1) dan (2) adalah akibat dari dua penyebab yang tidak saling berhubungan.
- Pernyataan (1) adalah penyebab dan pernyataan (2) adalah akibat.
- Pernyataan (1) dan (2) adalah akibat dari suatu penyebab yang sama.
- Pernyataan (1) dan (2) adalah penyebab, namun tidak saling berhubungan.
- Pernyataan (2) adalah penyebab dan pernyataan (1) adalah akibat.
Jawaban: C
Pembahasan:
Diketahui: Dua buah pernyataan.
Ditanya: Hubungan kedua pernyataan tersebut =…?
Penyelesaian:
Banyak pengusaha yang membuka lahan untuk mendirikan perumahan baru di kawasan Jakarta. Hal tersebut menyebabkan beberapa permasalah seperti:
(1) kurangnya ruang terbuka hijau di Jakarta; dan
(2) banyaknya kali atau sungai di Jakarta yang mengalami penyempitan.
Jadi, hubungan kedua pernyataan tersebut adalah pernyataan (1) dan (2) adalah akibat dari suatu penyebab yang sama.
Latihan Soal 3
Ketua OSIS sekolah Z sedang membagi 8 orang pengurusnya, yaitu A, B, C, D, E, F, G, dan H, ke dalam dua divisi, dengan ketentuan sebagai berikut.
- Anggota divisi terdiri atas 4 orang.
- A dan H tidak dimasukkan ke dalam divisi yang sama.
- B dan G dimasukkan ke dalam divisi yang sama.
- Apabila dalam satu divisi terdapat F, maka H harus dimasukkan ke dalam divisi yang berbeda.
- E dan G tidak dapat bekerja dalam satu divisi.
- D dan H selalu dalam divisi yang sama.
Jika ketua OSIS memutuskan bahwa B berada di divisi kedua, maka kemungkinan divisi dua adalah….
- H, B, G, C
- H, D, A, B
- H, B, G, D
- H, B, A, D
- H, F, B, D
Jawaban: C
Pembahasan:
Diketahui: Ketua OSIS sekolah Z membagi 8 orang pengurusnya, yaitu A, B, C, D, E, F, G, H ke dalam dua divisi, dengan ketentuan sebagai berikut.
- Anggota divisi terdiri atas 4 orang.
- A dan H tidak dimasukkan ke dalam divisi yang sama.
- B dan G dimasukkan ke dalam divisi yang sama.
- Apabila dalam satu divisi terdapat F, maka H harus dimasukkan ke dalam divisi yang berbeda.
- E dan G tidak dapat bekerja dalam satu divisi.
- D dan H selalu dalam divisi yang sama.
Ditanya: Kemungkinan anggota divisi dua jika B berada di divisi kedua =…?
Penyelesaian:
Untuk mempermudah mencari kemungkinan pembagian divisi dimulai dari pertanyaan, yaitu menempatkan B pada divisi kedua. Setelah B lalu letakkan G bersama B. Selanjutnya E diletakkan di divisi yang berbeda. Dari keterangan tersebut dapat disimpulkan bahwa A dan F selalu satu divisi dan berlainan divisi dengan H dan D. Oleh karena itu, ada dua kemungkinan seperti tabel berikut.

Dengan melihat kemungkinan yang terbentuk, kemungkinan anggota divisi dua jika B berada di divisi kedua adalah H, B, G, D.
Jadi, jawaban yang tepat adalah H, B, G, D.
Latihan Soal 4
![]()
- 25
- 9
- 21
- 15
- 10
Jawaban: E
Pembahasan:
Diketahui: suatu deret bilangan.
Ditanya: 4, 5, 5, 7, 10, 15, …, 20, 45, 13 =…?
Penyelesaian:
Perhatikan deret berikut.

Bilangan setelah 15 adalah 7 + 3 = 10.
Jadi, bilangan yang tepat untuk melengkapi deret tersebut adalah 10.
Latihan Soal 5
Pak Yono memiliki tanah seluas 400 m2. Seperlima luas tanah tersebut akan ditanami pohon kelapa. Jika sebuah pohon kelapa membutuhkan luas tanah sebesar 4 m2, jumlah pohon kelapa yang dapat ditanami oleh Pak Yono adalah…
- 180 pohon
- 60 pohon
- 320 pohon
- 20 pohon
- 240 pohon
Jawaban: D
Pembahasan:
Diketahui: Tanah Pak Yono = 400 m2.
Ditanya: Banyaknya pohon yang akan ditanam jika setiap pohon membutuhkan luas 4 m2 =…?
Penyelesaian:
Pada soal tertulis seperlima tanah. Jika dinyatakan dalam bentuk matematis, menjadi seperti berikut.

Tanah tersebut akan ditanami pohon kelapa di mana setiap pohon membutuhkan 4 m2. Dengan demikian, banyak pohon yang ditanam adalah 80 : 4 = 20 pohon.
Jadi, banyaknya pohon kelapa yang akan ditanam oleh Pak Yono adalah 20 pohon.
Latihan Soal 6
Data hasil penjualan rata-rata setiap bulan Toko Makmur adalah sebagai berikut.

Jika promosi berhasil meningkatkan omzet penjualan dua kali lipat untuk buku tulis dan pensil, besar total keuntungan yang diperoleh toko tersebut adalah…
- 56 juta
- 38 juta
- 42 juta
- 36 juta
- 24 juta
Jawaban: B
Pembahasan:
Diketahui: Data penjualan rata-rata setiap bulan Toko Makmur.
Ditanya: Total keuntungan Toko Makmur =…?
Penyelesaian:
Besar total keuntungan yang diperoleh Toko Makmur jika terjadi peningkatan omzet penjualan 2 kali lipat untuk buku tulis dan pensil dapat dihitung dengan bantuan tabel berikut.

Total keuntungan Toko Makmur = 12 + 8 + 5 + 5 + 8 = 38 juta.
Jadi, total keuntungan Toko Makmur adalah 38 juta.
Latihan Soal 7
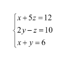
Diketahui persamaan berikut.

Nilai 2x + 3y + 4z adalah…
- 32
- 29
- 31
- 30
- 28
Jawaban: E
Pembahasan:
Diketahui: Persamaan berikut.

Ditanya: 2x + 3y + 4z =…?
Penyelesaian:
Perhatikan bentuk persamaan linear tiga variabel tersebut. Selanjutnya, jumlahkanlah ketiga PLTV tersebut.

Jadi, nilai dari 2x + 3y + 4z adalah 28.
Latihan Soal 8
Wahyu mengikuti 5 kali ulangan Matematika tetapi salah satu nilai ulangannya hilang. Nilai-nilai ulangan tersebut yaitu 78, 88, 97, dan 88. Jika diketahui nilai rata-rata ulangan Matematikanya adalah 88, maka nilai Wahyu yang hilang adalah…
- 93
- 90
- 89
- 91
- 92
Jawaban: C
Pembahasan:
Diketahui:
- Nilai-nilai ulangan Matematika Wahyu adalah 78, 88, 97, dan 88.
- Nilai rata-rata ulangan Wahyu adalah 88.
Ditanya: Nilai Wahyu yang hilang =…?
Penyelesaian:
Nilai Wahyu yang hilang dirumuskan sebagai berikut.

Jadi, nilai Wahyu yang hilang adalah 89.
Latihan Soal 9

Jawaban: E
Pembahasan:
Diketahui: Deret gambar berikut.

Ditanya: Gambar keempat =…?
Penyelesaian:
Perubahan pada deret gambar tersebut adalah sebagai berikut.
Figur 1 ke 2:
- Seluruh elemen berputar 90° searah jarum jam di sepanjang sisi bingkai.
- Masing-masing elemen bertambah 1 dengan warna yang sama.
Figur 2 ke 3:
- Seluruh elemen berputar 90° searah jarum jam di sepanjang sisi bingkai.
- Masing-masing elemen bertambah 1 dengan warna yang sama.
- Elemen berwarna putih tampak menutupi elemen berwarna hitam.
Figur 3 ke 4:
- Seluruh elemen berputar 90° searah jarum jam di sepanjang sisi bingkai sehingga elemen garis hitam berada tegak di sebelah kanan figur, sedangkan elemen putih berada tegak di sebelah kiri figur.
- Masing-masing elemen bertambah 1 dengan warna yang sama.
- Elemen berwarna putih tampak menutupi elemen berwarna hitam.
Jadi, berdasarkan perubahan tersebut, figur yang paling sesuai adalah gambar berikut.

Latihan Soal 10


Jawaban: B
Pembahasan:
Diketahui: Matriks gambar.
Ditanya:

Penyelesaian:
Perubahan figur gambar mengikuti pola berikut.

Perubahan yang terjadi dari figur satu ke figur yang lainnya adalah sebagai berikut.
- Seakan-akan isi elemen (warna hitam) berpindah ke elemen di bawahnya dengan cara berpindah setengah dahulu kemudian seluruhnya.
- Ketika berpindah, elemen kecil yang berada di atas dan bawah elemen-elemen besar akan berwarna sesuai isi elemen besar terdekatnya.
- Apabila warna elemen telah berpindah seluruhnya dari elemen di atas ke bagian bawahnya, maka garis di pojok figur bertambah satu.
- Setelah warna elemen berpindah seluruhnya, elemen dicerminkan terhadap garis mendatar sehingga elemen berwarna hitam kembali berada di atas.
- Proses ini akan terus berulang.
Berdasarkan perubahan tersebut, figur yang rumpang seharusnya berisikan ciri berikut.
- Elemen bagian bawah berwarna hitam seluruhnya baik elemen besar ataupun kecil.
- Garis di pojok bertambah 1 menjadi ada 3 garis.
- Setelah itu, figur selanjutnya berisikan elemen warna hitam yang telah dicerminkan.
Jadi, berdasarkan perubahan tersebut, figur yang paling sesuai adalah sebagai berikut.

Latihan Soal 11
Perhatikan teks berikut.
(1) Penyakit alzheimer kian menyusup di usia lebih muda di sekitar umur 30 hingga 40 tahun. (2) Namun, sebuah riset baru menyebutkan bisa mencegah perubahan otak yang mengarah ke alzheimer sedini mungkin. (3) Alzheimer bisa dicegah dengan meningkatkan kekuatan otak.
(4) Perubahan otak yang dapat menyebabkan gangguan kognitif bisa dimulai sejak usia 30 tahun. (5) Namun, bila usia seseorang saat memulai lebih muda atau tua tidak menjadi masalah. (6) Tidak ada usia yang terlalu dini atau terlambat dalam melancarkan kesehatan otak.
(7) Ada beberapa hal yang dapat dilakukan untuk meminimalkan penyakit alzheimer, khususnya menguatkan kesehatan otak. (8) Dengan bergerak, mengaktifkan daya pikir, cukup tidur, dan cerdas dalam mengonsumsi makanan dapat mencegah alzheimer sedini mungkin.
(9) Bergerak menjadi kunci dalam membersihkan amyloid, yakni plak di otak yang ditemukan pada penderita alzheimer. (10) Hingga saat ini, tidak ada obat yang mampu menurunkan kadar amyloid. (11) Satu-satunya cara menurunkan kadarnya dengan bergerak atau melakukan aktivitas fisik. (12) Sebuah studi menemukan bahwa orang yang aktif bergerak memiliki risiko 35 persen lebih rendah mengalami penurunan kognitif pada otak.
(13) Selain itu, aktivitas lainnya yang dapat dilakukan dengan mengaktivasi daya berpikir atau menantang pikiran. (14) Aktivitas ini tidak harus menyelesaikan persoalan teka-teki silang. (15) Mengingat nama banyak orang hingga membaca novel yang menantang pikiran bisa dilakukan.
(16) Istirahat yang cukup serta cerdas dalam mengonsumsi makanan juga dapat mengurangi risiko alzheimer. (17) Berdasarkan beberapa penelitian, ada jenis makanan yang bisa meningkatkan daya ingat dan kesehatan otak. (18) Makanan tersebut antara lain, buah berry, sayuran hijau, ikan, dan biji-bijian utuh. (19) Kurangi makanan mengandung lemak jenuh dan lemak trans.
(Dikutip dengan pengubahan dari:
Penggunaan kata yang tidak tepat terdapat pada kata…
- meminimalkan dalam kalimat ke-7
- aktivitas dalam kalimat ke-11
- risiko dalam kalimat ke-16
- mengaktivasi dalam kalimat ke-13
- mengonsumsi dalam kalimat ke-8
Jawaban: D
Pembahasan:
Penggunaan kata yang tidak tepat terdapat pada kata mengaktivasi (kalimat ke-13). Kata mengaktivasi kurang tepat dalam kalimat tersebut dan diubah dengan kata mengaktifkan.
Selain itu, aktivitas lainnya yang dapat dilakukan dengan mengaktifkan daya berpikir atau menantang pikiran.
Jadi, penggunaan kata yang tidak tepat terdapat pada kata mengaktivasi.
Latihan Soal 12
Read this passage carefully.
Passage A
Coffee is one of the most traded commodities in the world right now after petroleum. Coffee is cultivated in more than 80 countries in Asia, Africa, as well as in South and Central America, which is the foundation for 25 million farming families. Besides farmers, who are involved in processing and distribution of coffee includes almost 100 million families.
Coffee can only grow in tropical climate with the certain highland and certain soil type. Topographic criteria and requirements are the region along equator or in the term called coffee belt tropic. Countries around coffee belt tropic become country exporting coffee to all over the world. Because of being commodity that become world celebrity, it makes disparity between exporter coffee country (coffee producer/coffee farmer) and importer country.
Most coffee exporters are included in this coffee belt tropic categorized as a poor country generally located in southern part of the earth. In contrast, the largest coffee consumption in the world is actually done by people from rich and deployed countries that are generally located in northern hemisphere. The processed coffee from coffee beans form (green bean) becomes a variety of drinks more done by people in developed countries. Similarly, cafe, restaurants, roasting, and several processing and enjoying coffee places is available and easier to access in developed countries than in countries where coffee is grown and processed early.
Passage B
The global market system of coffee developed quality control that includes cultivation systems, management, maintenance system, and marketing. The control system adopted by the world market system show how coffee farmers are dominated by the market system. The implementation of this system makes farmers as coffee producer adapting to this demands. The coffee farmer community in Gayo highland also cannot escape the phenomenon of globalization.
Since having Gayo Arabica coffee as one of world-class coffee, they cannot avoid the invasion of globalization. This causes the management of coffee plantations to change. Cultural change in the management of plantations everywhere, including in this Gayo highland. The presence of plantations in Indonesia cannot be separated from the Dutch colonial government. Therefore since its presence has brought the banner of global capitalist economic system. This system is certainly different from the indigenous economy rooted in the old traditions of farmers. The meeting of these two distinct interests will form different plantation management.
Which idea in passage B different from that in passage A? The coffee plantation is…
- available in both exporter and importer countries
- running a stable management
- fulfilled specific topographic criteria
- adjusted to the market’s demands
- influenced by the climate
Jawaban: D
Pembahasan:
Pada teks A disebutkan bahwa kebun kopi terdapat pada negara pengekspor kopi, yakni negara tropis. Ini karena penanaman kopi dipengaruhi oleh iklim dan harus memenuhi syarat topografi tertentu. Teks B menyatakan bahwa kebun kopi berubah pengelolaannya karena harus beradaptasi dengan permintaan pasar. Jadi, gagasan pada teks B yang berbeda dengan teks A adalah kebun kopi disesuaikan dengan permintaan pasar (adjusted to the market’s demands).
Bagaimana Quipperian, apakah kamu sudah mulai paham mengerjakan latihan soal SBMPTN TPS 2019 di atas? Agar pemahamanmu semakin terasah, sering-seringlah belajar dan mengerjakan latihan soal. Ingat, selangkah lagi kamu akan memasuki PTN impian. Untuk mendukung kesuksesanmu masuk PTN, Quipper Video hadir dengan Paket Intensif UTBK SBMPTN 2020. Semua kebutuhan sudah tersedia di dalamnya, mulai dari materi persiapan, materi pemantapan, latihan soal, bank soal, hingga pembahasan lengkapnya. Jadi, tunggu apalagi. Yuk, gabung Quipper Video sekarang!